√ Persamaan Kuadrat (Lengkap) : Pengertian, Cara, Rumus, Jenis & Sifat
1. Pengertian Persamaan Kuadrat
2. Cara Penyelesaian Persamaan Kuadrat
3. Menentukan Jenis Akar-akar Persamaan Kuadrat
4. Jumlah dan Hasil Kali Akar-akar Persamaan Kuadrat
5. Sifat-sifat Akar Persamaan Kuadrat
6. Menyusun Persamaan Kuadrat
Baca Juga: Barisan dan Deret, Trik Matematika, Rumus Praktis
1. Pengertian Persamaan Kuadrat
Persamaan kuadrat adalah suatu persamaan matematika yang memiliki pangkat tertinggi dari variabelnya adalah 2.Bentuk umum persamaan kuadrat:
Baca juga : Contoh Soal Persamaan Kuadrat
2. Cara Penyelesaian Persamaan Kuadrat
Terdapat 3 cara untuk menyelesaikan soal-soal dengan persamaan berbentuk kuadrat antara lain:
a. Memfaktorkan
ax2 + bx + c = 0, a≠0 dapat diuraikan menjadi: (x - x1) (x - x2) = 0
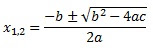
b. Menggunakan Rumus Kuadrat (Rumus abc)
Rumus untuk menentukan akar-akar persamaan kuadrat ax2 + bx + c = 0, a≠0 adalah:
c. Melengkapkan Kuadrat Sempurna
Cara menyelesaikan persamaan kuadrat dengan melengkapkan kuadrat sempurna adalah dengan mengubah persamaan kuadrat menjadi bentuk kuadrat sempurna. Bentuk umum persamaan kuadrat berbentuk kuadrat sempurna adalah
3. Menentukan Jenis Akar-akar Persamaan Kuadrat
4. Jumlah dan Hasil Kali Akar-akar Persamaan Kuadrat
Dari rumus:
dapat diperoleh:
Rumus-rumus lain yang dapat digunakan adalah
5. Sifat-Sifat Akar Persamaan Kuadrat
Jika x1 dan x2 adalah akar-akar persamaan kuadrat ax2 + bx + c = 0, a≠0 maka berlaku sifat-sifat berikut ini:a. Syarat mempunyai dua akar positif
b. Syarat mempunyai dua akar negatif
c. Syarat mempunyai dua akar berlainan tanda
e. Syarat mempunyai dua akar berkebalikan










EmoticonEmoticon